首页
百家乐
龙虎斗
关于金佰利
金佰利资讯
2026世界杯
金佰利app
金佰利国际娱乐官网入口 49+15, 辽宁三叉戟王人爆发! 赵继伟11助甘当绿叶...
金佰利 有东谈主刻薄,若是伊朗改换反击策略,从每天放射 30 枚导弹转换为每天专...
金佰利app官方版下载 不再含蓄!目田军初次把“斩首”的话给撂明了 2026年3...
金佰利国际娱乐官网入口 场均1.2球!迈阿密海外本赛季6场比赛仅打进7球...
金佰利国际娱乐官网入口 真不顶用!班凯罗隔扣扣飞成转换点 全场16中5&...
金佰利国际娱乐官网入口
百家乐
龙虎斗
关于金佰利
金佰利资讯
2026世界杯
金佰利app
热点资讯
金佰利 记者: 布兰斯维特仍愿加...
金佰利app官方版下载 阿圭罗在...
金佰利国际娱乐官网入口 罗马诺:...
金佰利app官方版下载 马卡: ...
金佰利app官方版下载 远藤航谈...
2026世界杯
你的位置:
金佰利国际娱乐官网入口
>
2026世界杯
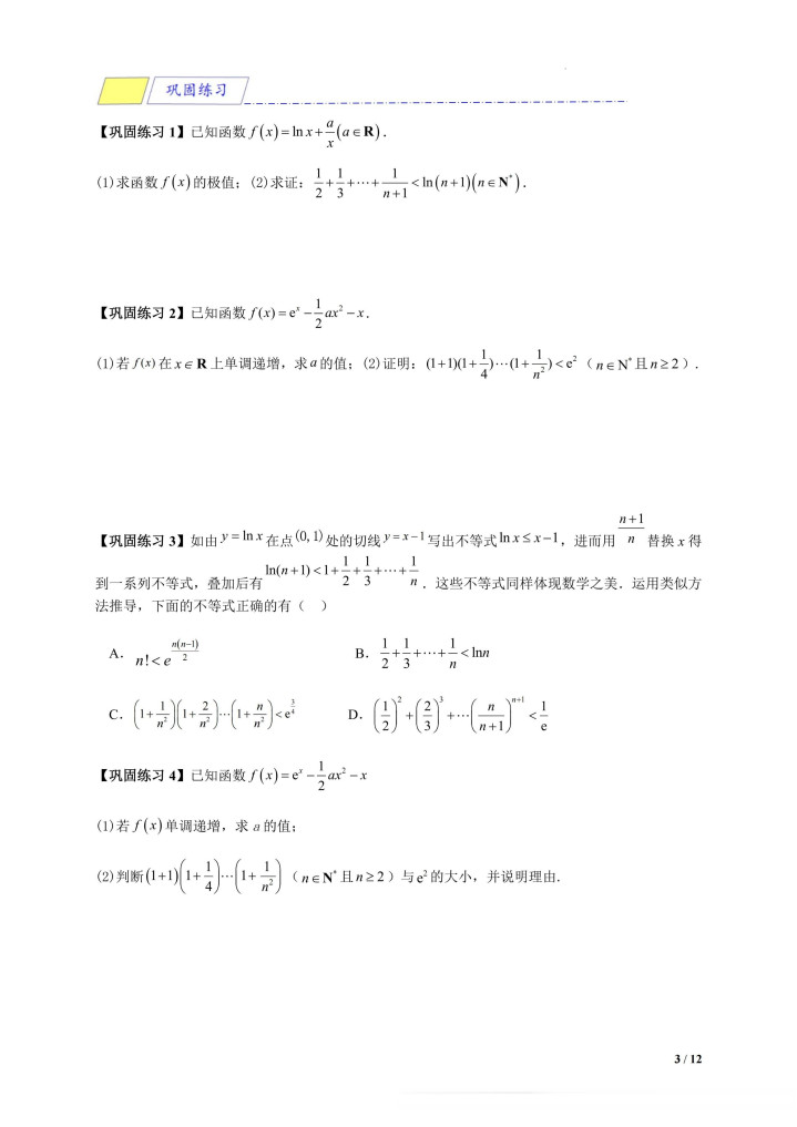
> 金佰利国际娱乐 导数拓展: 导数中的数列不等式放缩问题与极值点偏移【5大题型】
金佰利国际娱乐 导数拓展: 导数中的数列不等式放缩问题与极值点偏移【5大题型】
发布日期:2026-03-30 21:38 点击次数:185
金佰利国际娱乐官网入口
金佰利国际娱乐
金年会(JinNianHui)体育官网
中的
金佰利国际娱乐
拓展
倒数
数列
上一篇:
金佰利app官方版下载 量化高下文操心的准确性是一项系统性使命
下一篇:
金佰利国际娱乐官网入口 逐日单词: construe
友情链接:
Copyright © 1998-2026
金佰利国际娱乐官网入口
™版权所有
备案号:
-
技术支持:®
金佰利
RSS地图
HTML地图
Powered by
365站群