百家乐
你的位置:金佰利国际娱乐官网入口 > 百家乐 > 金佰利国际娱乐 高一数学下期——正余弦定理的基本期骗同步强化及谜底

金佰利国际娱乐 高一数学下期——正余弦定理的基本期骗同步强化及谜底

发布日期:2026-03-30 18:54    点击次数:64

金佰利国际娱乐 高一数学下期——正余弦定理的基本期骗同步强化及谜底

题目

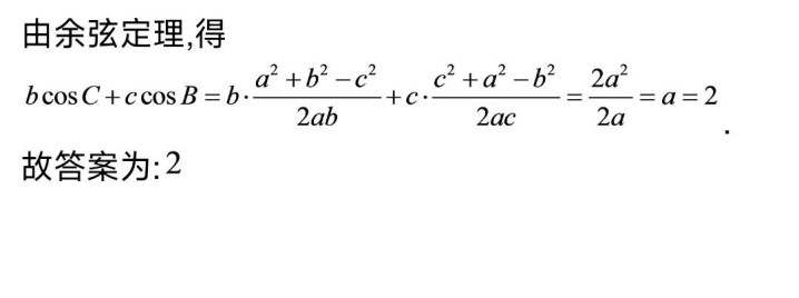
谜底

1

2

3

4

5

6金佰利国际娱乐

7

8

9

10

11

12

13

14

15

16

17

18

金佰利国际娱乐

金佰利国际娱乐官网入口

Copyright © 1998-2026 金佰利国际娱乐官网入口™版权所有

cecoroil.com 备案号 备案号: -

技术支持:®金佰利  RSS地图 HTML地图

Powered by365站群